1. LPF -20dB/dec [kembali]
Multiple Choice 1
Berapakah Wc jika diketahui R = 4 ohm dan C = 8?
a. 1
b. 0.415
c. 0.892
d. 0.3125
Answer:
Multiple Choice 2
Cara kerja Low Pass Filter adalah?
a.sinyal input yang berfrekuensi dibawah frekuensi cut-off akan dilewatkan dan sebaliknya diatas frekuensi cut-off akan digroundkan
b. sinyal input yang berfrekuensi dibawah frekuensi cut-off akan diground dan sebaliknya diatas frekuensi cut-off akan dihambat
c. sinyal input yang berfrekuensi dibawah frekuensi cut-off akan diground
d. sinyal input yang berfrekuensi diatas frekuensi cut-off akan diground
2. PSPICE Windows [kembali]
Example 1:
Hitunglah tegangan output dari rangkaian dibawah jika diketahui V1=40mV rms, dan V2=20mV rms!
Answer:

Example 2:
Hitunglah besar Vo!
Answer:
Berikut ini yang bukan termasuk model PSIPCE Windows adalah!
A. Low-Pass Active Filter
B. High-Pass Active Filter
C. Summing OP-AMP
D. Middle-Pass Filter
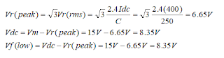
3. IC Voltage Regulator [kembali]
Example 1:
Hitunglah tegangan output minimal transformator yang memiliki tegangan output 15V dan kapasitor filter 250μF saat terhubung ke muatan 400mA!
Answer:
Example 2:
Tentukan nilai maksimum arus beban pada gambar!
Answer:







Tidak ada komentar:
Posting Komentar